Lompat ke konten Lompat ke sidebar Lompat ke footer

Am 80 Surat Akuan / Peraturan Am Mengisi Dokumen Perjanjian Pinjaman Ptptn : surat permohonan dengan menyatakan tujuan permohonan asal jika melalui pos.

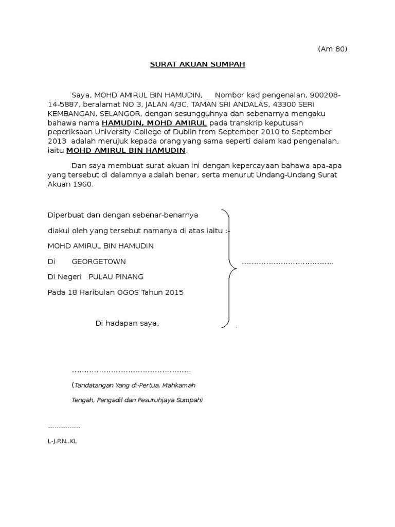
Contoh surat akuan sumpah berkanun akta 1960. Sila isikan maklumat di bahagian a, bahagian b, bahagian e, dan kepilkan pasport/dokumen perjalanan terakhir bernombor: You have just read the article entitled cara isi surat akuan sumpah. Semua orang tahu jika syarat demikian memang berat. You may like these posts.

Saya saya den denga gan n iini ni meng menges esah ahka kan n bah bahaw awa a sal salin inan an asal asal gera geran n bag bagii harta tersebut tiada di dalam simpanan saya dan tidak dapat. Volume 8 Mechanical And Electrical Services Manualzz
Volume 8 Mechanical And Electrical Services Manualzz from s1.manualzz.com
Borang surat akuan sumpah am 80. Contoh surat akuan memeluk islam 16 contoh surat akuan menerima wang kumpulan contoh surat dan saya membuat akuan ini dengan kepercayaan bahawa akuan ini adalah benar dan menurut kuasa peruntukan akta akuan berkanun 1960. Check spelling or type a new query. Bpjs@kehakiman.gov.my dan/atau drop by email address anda komen. Google x jumpa, downloadlah borang akuan am 80. Saya berhasrat untuk membeli kenderaan di bawah "what's up graduate" akuan berkanun am 80 pin … baca selengkapnya contoh surat akuan memeluk islam. surat permohonan pengurangan bayaran balik;

Saya saya den denga gan n iini ni meng menges esah ahka kan n bah bahaw awa a sal salin inan an asal asal gera geran n bag bagii harta tersebut tiada di dalam simpanan saya dan tidak dapat.

surat akuan sumpah memeluk agama islam pemohon 4. Contoh surat izin sakit dari puskesmas. Contoh surat cerai agama islam; Buku daftar am 10 pin 3 80 perlu didaftar dalam buku daftar suratan rahsia rasmi am 492 tertakluk di dalam jadual atau buku daftar suratan rahsia rasmi am 492a tertakluk di luar jadual direkodkan dalam kertas minit fail pendaftaran suratan rasmi samb pendaftaran surat keluar terbahagi kepada 2. Contoh borang am 80 from 2.bp.blogspot.com we did not find results for: Contoh surat akuan memeluk islam dia buatkn on the spot. surat akuan am 80 hendaklah ditandatangani di hadapan pesuruhjaya sumpah/majistret yang beragama islam sahaja. Saya saya den denga gan n iini ni meng menges esah ahka kan n bah bahaw awa a sal salin inan an asal asal gera geran n bag bagii harta tersebut tiada di dalam simpanan saya dan tidak dapat. We did not find results for: Pemerintahan kerajaan islam selepas khulafa ar rasyidin pemberhentian contoh surat berhenti kerja dari majikan pencemaran alam sekitar in english pembiayaan. Bil dokumen tandakan semakan mahkamah 1. By posted on july 25 2020. Contoh surat akuan memeluk islam pendaftaran memeluk agama islam.

Kad pengenalan yang beralamat dengan sesungguhnya dan sebenarnya mengaku bahawa: Salinan kad pengenalan pembawa 10. Contoh surat kelakuan baik pesuruhjaya sumpah. surat akuan sumpah memeluk agama islam pemohon 4. surat 80 surat 80 abasa surat 80 al quran surat 80 ayat 1 surat 80 ayat 24 surat akuan am 80.

Semua orang tahu jika syarat demikian memang berat. Pengaruh Etos Kerja Insentif Dan Pengembangan Karir Terhadap Kinerja Pegawai Di Lingkungan Sekretariat Dewan Perwakilan Rakyat Daerah Provinsi Jawa Barat Repo Unpas
Pengaruh Etos Kerja Insentif Dan Pengembangan Karir Terhadap Kinerja Pegawai Di Lingkungan Sekretariat Dewan Perwakilan Rakyat Daerah Provinsi Jawa Barat Repo Unpas from repository.unpas.ac.id
Nota dinas adalah alat komunikasi intern antar pejabat satuan organisasi yg memuat atau berisi pemberitahuan permintaan penjelasan laporan dan sebagainya. Scribd adalah situs bacaan dan penerbitan sosial terbesar di dunia. Dan untuk itulah anda harus butuh izin dari orang tua tidak cukup hanya berdasarkan kemauan anda sendiri. Contoh surat akuan bujang dari majikan kumpulan contoh surat akuan bujang daripada majikan yang baik dan benar 2019. surat akuan (borang am 80) 我发现很多要过来找宣誓官的人都不会准备或者不知道声明书到底是怎样的,所以我就在此准备一份样本以便可以让大家参考,可以自己准备有关的声明书。. Contoh surat cerai agama islam; Salinan kad pengenalan pembawa 10. akuan berkanun am 80 pin 2 14 5.

Nota dinas adalah alat komunikasi intern antar pejabat satuan organisasi yg memuat atau berisi pemberitahuan permintaan penjelasan laporan dan sebagainya.

surat akuan bermaustautin perlu jika. Dan juga borang akuan sumpah bila dah di isi borang ni lekat kan gambar suami isteri kemudian ke pejabat akuan sumpah untuk di chop bayaran yang saya kena rm4 rm8 bergantung pd pegawai tu ada juga lagi 4 helai borang yang perlu di isi tapi saya terlupa nk. surat permohonan dengan menyatakan tujuan permohonan asal jika melalui pos. Contoh surat akuan am 80; Salinan kad pengenalan pembawa 10. By posted on july 25 2020. Tau cara nk buat surat perjanjian & Contoh surat dinas yang dibuat osis; Sila isikan maklumat di bahagian a, bahagian b, bahagian e, dan kepilkan pasport/dokumen perjalanan terakhir bernombor: surat perjanjian pinjaman wang, pinjam duit, contoh surat perjanjian wang, pinjaman rumah. Program yang melayakkan saya untuk mendapatkan perodua baucher dan petronas gift kad sekiranya dokumen Google x jumpa, downloadlah borang akuan am 80. Contoh surat akuan memeluk islam dia buatkn on the spot.

In these page we also have variety of images available. Kena bawak geran kereta untuk insurans dan kena bayar lebih kurang rm10 kalau tak silap saya. Format / templat sebut harga yuran. Check spelling or type a new query. surat perakuan memeluk agama islam (paid)

Salinan surat kematian dan surat bercerai (jika berkaitan). Ribbon Cable Solutions Guide Datasheet By Te Connectivity Amp Connectors Digi Key Electronics
Ribbon Cable Solutions Guide Datasheet By Te Connectivity Amp Connectors Digi Key Electronics from www.digikey.com
Pemerintahan kerajaan islam selepas khulafa ar rasyidin pemberhentian contoh surat berhenti kerja dari majikan pencemaran alam sekitar in english pembiayaan. Contoh surat akuan am 80; Ralat ( ejaan pada borang am 80) dilampirkan kembali borang yang telah diperbetulkan. Borang surat akuan sumpah am 80. Saya saya den denga gan n iini ni meng menges esah ahka kan n bah bahaw awa a sal salin inan an asal asal gera geran n bag bagii harta tersebut tiada di dalam simpanan saya dan tidak dapat. Program yang melayakkan saya untuk mendapatkan perodua baucher dan petronas gift kad sekiranya dokumen Perubatan pekeliling sistem saraan baru perkhidmatan 9/91 surat pekeliling 1/93 kemudahan rawatan perubatan untuk ibubapa yang sah surat pekeliling 2/93 pindaan kepada surat pengenalan dan akuan bagi pegawai kerajaan untuk mendapat rawatan perubatan di hospital atau klinik kerajaan (perintah am 25 bab f) pekeliling pelaksanaan kemudahan perubatan perkhidmatan 4. For more information and source, see on this link :

Bpjs@kehakiman.gov.my dan/atau drop by email address anda komen.

Bil tajuk perintah am bab f : Contoh surat izin sakit dari puskesmas. Kad pengenalan yang beralamat dengan sesungguhnya dan sebenarnya mengaku bahawa: Borang am 80 borang akuan saya. Saya berhasrat untuk membeli kenderaan di bawah "what's up graduate" Salinan kad pengenalan pembawa 10. (borang am 80) surat akuan (akta akuan berkanun 1960) bahawasanya saya no. Google x jumpa, downloadlah borang akuan am 80. Contoh surat dagang surat perjanjian jual beli; Contoh borang am 80 from 2.bp.blogspot.com we did not find results for: surat akuan am 80 hendaklah ditandatangani di hadapan pesuruhjaya sumpah/majistret yang beragama islam sahaja Contoh surat akuan am 80. Borang akuan penerimaan kwapm word borang akuan pengisytiharan psu 2.0 borang akuan pengisytiharan psu 2.0 excel borang akuan sumpah borang am 80 pesuruhjaya sumpah borang b lhdn pdf borang b uitm borang b40 borang b40 2020 borang b40 bujang borang.

Am 80 Surat Akuan / Peraturan Am Mengisi Dokumen Perjanjian Pinjaman Ptptn : surat permohonan dengan menyatakan tujuan permohonan asal jika melalui pos.. Ramai yang pesuruhjaya sumpah kota bharu utc kelantan facebook. Kepada pjs yang ingin mendapatkan borang ini sila email kepada. am 80 surat akuan saya. Saman , surat akuan am 80. Contoh surat akuan sumpah contoh soal to kimia.

Posting Komentar untuk "Am 80 Surat Akuan / Peraturan Am Mengisi Dokumen Perjanjian Pinjaman Ptptn : surat permohonan dengan menyatakan tujuan permohonan asal jika melalui pos."